首頁
關於我們
鑽石現貨
求婚戒指圖片
媒體報導
Facebook
聯絡我們
GIA鑽石 : 0.30-0.99ct
GIA鑽石 : 1.00-1.49ct
GIA鑽石 : 1.50-1.99ct
GIA鑽石 : 2.00ct以上
GIA鑽石 : 心形~梨形等等
註冊
登錄
會員
標籤
統計
幫助
香港鑽石樓上鋪
»
diamond(鑽石) 請進入鑽石免費報價
» 請報價 1 cat
‹‹ 上一主題
|
下一主題 ››
發新話題
發佈投票
發佈商品
發佈懸賞
發佈活動
發佈辯論
發佈視頻
打印
請報價 1 cat
189
新手上路
發短消息
加為好友
當前離線
1
#
大
中
小
發表於 2017-11-12 23:14
只看該作者
請報價 1 cat
1 cat
Colour: D-F
Clarity: VVS1-VS2
Cut: 3 Ex
Flu: None
Budget
50,000
Thanks!
在線時間
1306 小時
註冊時間
2013-3-14
最後登錄
2024-7-20
查看詳細資料
TOP
sam
版主
發短消息
加為好友
當前離線
2
#
大
中
小
發表於 2017-11-13 01:38
只看該作者
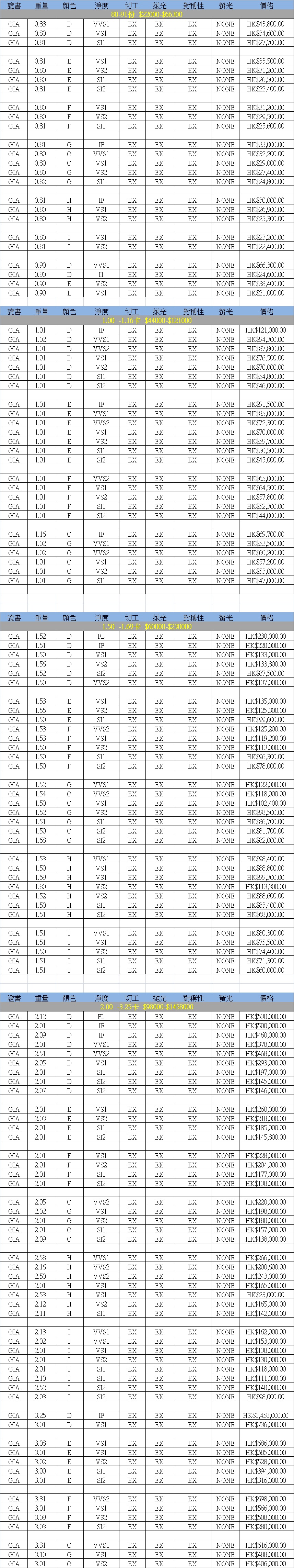
hi,
你好! 會超出你的預算些小, 你參考下,1卡不同質素鑽石價錢,
20170818_1f3290caaa3bb7b4598fNbAzrwhf9iHj.jpg
(1.55 MB)
2017-11-13 01:38
有興趣可電60142189
thx
sam
[
本帖最後由 sam 於 2017-11-13 01:39 編輯
]
在線時間
2977 小時
註冊時間
2008-6-28
最後登錄
2021-7-21
查看詳細資料
TOP
‹‹ 上一主題
|
下一主題 ››